
Hey guys! [Turn on hover disc. Wait a moment. Turn it off.]
Something new! Let’s look at it!
I want to show you something cool. Let’s all sit on the floor right here. [Get everyone sitting in a circle in the middle of the room on the tile floor. Turn the hover disc back on. Slide it over to someone very near to you.] Ooh, fun! Right? [Motion for them to slide it back. Turn it back off. Slide it over toward them again.] Whoa, that was no fun at all! Why was it fun when it was on but not anymore? (Kids immediately tell you that there’s no friction when it is on. Curse that fun-killer, friction!)
We decide that even if there is some tiny amount of friction when it is on, it is so small that we can model it as No Friction and still be able to make pretty good predictions. Could we model it as No Friction when it is turned off? Well, sure, but it would be a pretty terrible model and our predictions wouldn’t be very good. Okay, so there is definitely a line somewhere about when it is no longer okay to model a situation as having No Friction.
Now this is a toy, and you guys are Big Kids. When you were Little Kids, you could play with toys without worrying about breaking them. So let’s just remember to be gentle.
Make some observations
Okay, in a moment, not yet, I’m going to turn this back on and gently pass it across the floor to someone else. When it comes near you, go ahead and gently pass it on across the circle. It is easiest to observe when it is going somewhat slowly, so don’t speed it up too much. Gentle passes, guys.
As it is moving around, let’s specifically watch the motion while no one is touching it. Look at how it moves in between the touches. [Turn hover disc back on. Pass it around. Keep reminding them to go slowly. They remind each other, too. After a couple of minutes, get someone to pass it back toward you. Turn it off.] Okay, what kind of motion was it? (Answers vary. Usually they will get to saying that it goes in a straight line and at a constant speed. If they can’t agree on whether the speed was constant, then do it again briefly looking specifically for whether the speed was constant or not.) So, was it CVPM (that is, could we model it with the Constant Velocity Particle Model)? (Usually they say no right away, then they quickly change to, Oh! Yes!) How about when you were touching it? What happened? (It sped up / it slowed down / it changed directions.) So was it CVPM when you touched it? (No.)
There’s one more thing I want to show you. [I have previously forcibly attached a paperclip to the center of the hover disc and it has a bit of string tied to it. I tie a longer string to it now.] I’m going to pull the hover disc horizontally with the rope. We’ll watch what happens and decide what kind of motion it is. [Turn hover disc on, and pull with rope. Optionally, you can attach a spring scale or spring to make it more of a constant force, but it works just fine even if we don’t know that the force is constant. Keep the string parallel to the ground, or you will regret it in 20 minutes or so.] Is it CVPM? (No! It was speeding up!)
Okay, let’s go back to the tables and put together some new representations to describe what we saw.
System Schema
When we were looking at motion in the CVPM unit, we looked at intervals of time. With forces, we focus on one snapshot at a time instead of a duration. We had three diagrams that we could draw for CVPM, right? (x-t graphs, v-t graphs, motion maps) We’ll have three more for forces, soon. We’ll get to start playing with two of them today.
The first representation is called a System Schema. There’s some space in your packet right inside the first page where you can draw your own diagrams. We’ll do four situations, and each of them will have two diagrams. If you want to plan ahead, just sort of mentally divide the page into quarters so that you have plenty of space.
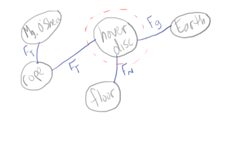
Our first situation is going to be this: The hover disc, turned off, sitting on the floor. No one is touching it. Snapshot. [Make camera motion with your fingers to emphasize the snapshot that you are taking.] Okay? Hover disc, turned off, on the floor. No one touching it. Snapshot.
So a System Schema shows the objects that are interacting and what types of interactions they are having. What objects are interacting with the hover disc? [As kids start saying things, write objects on the board and draw circles around the names. If the kids don’t introduce enough random objects, start adding some of your own. You need way too many objects for this first system schema so that they start building an idea of what objects are minimally necessary.] Great.
Now we connect the objects that are interacting and label the connections with the types of interactions. [Some back and forth as they tell you what connections to make.]
Final step. We draw a dashed line around the object or objects that we are focusing on. Any lines that cross that boundary are forces that are acting on the object. So how many forces are on the hover disc? (2) Great! Now, I think we had more objects in our schema than we really needed. Which ones did we really need to have (Earth, floor). Did it hurt anything to have the extra objects? (Not really, no.) So as long as we make the correct connections, it’s okay to have extra objects in there. Once you’ve practiced a bit, you’ll usually be good at knowing which objects are the ones that are important to include.
Free Body Diagrams
Once we have the system schema, we know all of the forces acting on the hover disc. The free body diagram is where you represent the object as a particle and show the forces on the object with their directions. Remember that we represented the object as a particle (a dot) on our motion maps back in CVPM. So. Shrink the object to a particle. And what’s one force acting on the hover disc? (Gravity) What direction? (Down) Down toward the center of the Earth. What object exerts it? (the Earth) We’ll write that in parentheses so we know what object exerts each force. Great. What’s the other force? (Normal force from the floor) Crunchy force, great. What direction are the atoms being crunched? (Umm… perpendicular) Perpendicular to what? (To the floor) So that’s up or down, right? (Okay, up, because they floor is pushing up from underneath it.) So that’s it, yeah?
Hey… does that look kind of balanced to you? (Yeah, I guess so) And what kind of motion was it? (At rest) So is that CVPM? (No… oh wait, yes.) Cool. Ready for the next situation? This is going to be our second out of four snapshots.
Second Snapshot
Okay. We’re all sitting on the floor. The hover disc is on. The disc is moving, but no one is touching it right now. Snapshot. Got it? On the floor, turned on, moving, no one touching. Snapshot. [Camera finger motions each time you say snapshot.]
Why don’t you guys get a couple of steps ahead of me in drawing the system schema. I’ll give you a couple of minutes, then you’ll help me draw mine on the board. [Wait a couple of minutes, then get them to start telling you which objects to draw, then which connections to make. Purposely put the objects in a different arrangement this time so that they see there isn’t one correct placing to draw. Also, brief discussion about how we don’t need to make connections that don’t involve the hover disc, but that it is okay to do that if you need that sense of completeness to fulfill your physics zen.]
Okay, now we’re ready for the FBD, right? [Same type of discussion as last time.]
Hey… does that look kind of balanced to you? (Yes) And what kind of motion was it (It was CVPM when we weren’t touching it) Cool. Ready for the third snapshot?
Third Snapshot
Remember when I pushed the hover disc and it was no fun at all because it was turned off? (Yes) Okay, hover disc is turned off, I have pushed it, and it is moving, but I am no longer touching it. Snapshot. Got it? It is turned off, moving, but no one is touching it. Snapshot.
Go ahead and get ahead of me on the system schema. [Same kind of discussion as before when they’re ready.]
Let’s shrink it down to a particle and draw the FBD.
Hey… does that look kind of balanced to you? (No!) Oh, okay. So unbalanced, then. And the motion… was it CVPM? (No, it was slowing down.) Okay, so changing velocities.
Final Snapshot
Hover disc is on, and I am pulling it with the rope. Snapshot. Got it? Hover disc on, pulling it with the rope. Snapshot. Get ahead of me on the system schema. [Seems to lead to the statement, “Do we really need Ms. O’Shea?” Answer: No.]
Now the FBD.
Hey… does that look kind of balanced to you. (No) And the motion? (It was speeding up.) Great.
Find the pattern
Is anybody seeing a pattern here? [Stand back. As you go, you’ve kept one spot on the board where you keep erasing and drawing a new system schema, but the FBDs have stayed up in order across the rest of the board. Let the students look at them all together and see if there’s a pattern.] (Someone will, without realizing that they’re saying something really important, casually and quickly say, “When the forces are balanced, it’s constant velocity, but it changes velocities when the forces are unbalanced” or something else very similar.)
Whoa. That seems like kind of a big pattern. Is anybody else getting goosebumps here? So balanced forces, constant velocity. Unbalanced forces, changing velocity. That seems like a pretty useful pattern, actually. (Yeah) [Short pause while this sinks in.] Okay… would it surprise you guys to hear that someone else noticed that same pattern before we did? (No way!) [Shake fist dramatically.] Curse you, Isaac Newton, for being born hundreds of years before us! This could have been (Susie, or whatever the kid who said it is called)‘s Law! (Is this Newton’s 1st Law?) Yes, yes. That’s what people generally call it. There’s a space to write down Susie’s Law on the front of the packet.
N1L: If the forces are balanced, the velocity is constant. If the forces are unbalanced, the velocity is changing. [OR whatever your class decides is best. Soon, if not now, a discussion about “inertia” (you mean “mass”?) and “object in motion” type of unhelpful phrasing will come up. Discuss how “stays in motion” could be slowing down, speeding up, or changing directions, so it isn’t a specific enough way of saying things to be helpful to you guys when you want to make explanations or predictions in the future.]
User Notes
This work takes around 2 class periods (about 80 minutes). Before we do this day, I spend 25 to 40 minutes to get common vocabulary. We discuss English meanings of the word force, and I tell them “my” physics definition (an interaction between two objects). We define names, symbols, general directions, and cases where they are present for 4 or 5 common forces (gravitational force, normal force, friction force, tension force, sometimes also spring force). Without getting the common vocab first, it would be much tougher to do what I described above succinctly. We also play a bit with a matter model and talk about the normal force in terms of atoms being crunched and the friction force in terms of atoms being sheared. I always call “strings” as “ropes” because string and spring sound too similar and we end up getting confused and frustrated at some point that way. Also, I didn’t come up with this paradigm investigation. It is basically the Modeling Instruction paradigm lab, I think.














Kelly,
Awesome explanation, and it’s really easy to see how your class runs from here. I might even send this post to my kids if they’re looking for a refresher on these ideas. But I do have one question—I notice you say that the floor is exerting a force on the puck when the puck is on. Have you decided not to make a big deal out of the idea that the air is pushing the puck upward and it isn’t touching the floor? We spend some time drawing that idea out by sliding a piece of papaer under the puck when it is on to see that it isn’t touching the floor and this is why the frictional force goes away. What are your thoughts on that? Probably irrelevant details at the momemnt that just slow you down?
Hey John,
It’s a good point. In some classes, they say it is the floor pushing on the bottom of the puck. In some classes, they say the air pushes on the puck and the floor pushes on the air. I just go with whatever they want because in this super early bit, it doesn’t really matter. And they don’t have the model yet, so whatever makes the most sense in that class is what they need in order to get toward seeing the pattern.
Kelly, it is interesting how you get at the same ideas in a very different order than I do. One question: how do you motivate the existence of the gravitational interaction before building the balanced force model?
(I do the no force model using dry ice in a similar manner to what you describe on day 1, then build both the balanced force model and the gravitational force idea on the next day by trying to reconcile the no force model with free fall and a mass suspended from a spring).
Nicholas
No motivation needed. When I ask them what types of forces exist, I’ve never had them say anything but gravity as the first one.
Interesting. It is usually a topic of some debate in my classroom. The idea that the downward acceleration is due to an interaction with some object is usually quite difficult for them. They throw out the word “gravity” very quickly, but usually what they mean by that doesn’t have to do with an attractive long-range interaction with the earth. Do your students have any trouble with that, or do you spiral back to it later?
We do BFPM before we do CAPM. We don’t deal specifically with acceleration (and certainly don’t use the word) in this unit, though we do draw v-t graphs for objects that have unbalanced forces. The table on the front of the packet really helps, especially the What Direction and When Is It Present columns. They readily tell me that gravity is always present and points down (sometimes they even give me “toward the center of the Earth” without any prompting).
They have a much harder time with Fg when it comes to the Fg you exert on the Earth. That’s a much harder sell.
What I do for that is have a student hold a bowling ball in one hand and a basketball in the other. Which one does (s)he need to push up on harder to keep it in place? The bowling ball. Why? Because of gravity. Do you mean that something is pulling on it? Since “gravity” isn’t a real thing you can touch, what must be actually pulling down on the bowling ball? Earth.
This idea came from Rutgers’ Physics Union Math inquiry-based curriculum.
This confirms everything I’ve been reading this weekend about the method – I was having trouble finding the definition of system schema until planning today for tomorrow’s lesson. I’ve always introduced free body diagrams as the first step, but I can really see how this helps students develop one more layer of concreteness before jumping to the diagram.
In the beginning I have students identify for every force that it is object _____ exerting a force on object _____ and require them to identify those two objects. It combats inclusion of net force as a force on a FBD doing this, but as you had mentioned in your commentary to me last week, it really helps in Newton’s 3rd. I love how drawing a system schema does this without even needing to mentally fill in the blanks of the sentence – drawing the dotted line around the object being analyzed in the schema does it almost automatically.
Thanks for being so explicit in describing your process and in answering questions – it is a great help for teachers like me that want in on the action we’ve heard so much about from the modeling world, but are only beginning to understand or attempt.
Thanks! Keep letting me/us know how things are going! 🙂
I found the system schema a little tedious at first, but it was because I already know how to draw FBDs. The kids find them really useful throughout the year, though, and now I love watching them draw one without being prompted when they know they are getting confused about which forces are acting on an object. Actually, they seem to love drawing them even when they don’t necessarily need them, but the more diagrams the merrier. It’s a great habit to have, drawing diagrams.
[…] was especially lucky that shortly after reading this, Kelly O’Shea had posted an excellent guide on how she introduces the Balanced Force Particle model to her class. It seemed like such a natural way to analyze problems, so I introduced it to the […]
I’m a beginning modeler and this post is SO useful. Thank you for sharing.
How much total time do you spend on BFPM? I would be very interested to know your day by day schedule for this unit.
Thanks, Ryan. I spend maybe two weeks on it in Honors Physics (sophomores), and maybe three weeks on it in my regular classes (juniors). I’ll try putting together a timeline soon to show you how we did it this year (just recently finished in the regular classes, but we’ve been done for ages in Honors and are halfway through unbalanced forces in one of my sections).
[…] Building the Balanced Force Particle Model […]
[…] circular motion when we built the balanced force particle model, the methods for which I stole from Kelly O’Shea (the Kick Dis puck is amazing for this! Seriously check out her post on BFPM). But that was quite a […]
[…] that is, when direction changes, velocity changes. Once again I credit Kelly O’Shea and her method for teaching BFPM for this). So then we drew a free body diagram and reasoned through which force should be bigger; […]
[…] been teaching using schema system diagrams, which I have just been calling interaction diagrams in my physics class. It’s the first time […]
Hi Kelly, Thanks for all the great modelling info. I’m curious about where you go from here. How do you use the Worksheet 1 Forces and Motion? If you don’t assign homework then do students just work on it sequentially in class? How does that work with whiteboarding? I don’t see how a group of students can WB #4 in the worksheet without having done #1-3 first. But do they all work on it together in class and then another day do the whiteboarding? It seems like a lot of class time but maybe it works. Thanks for letting me know.
Lots of good questions!
I do assign minimal homework (work on the next couple of problems to get ahead for tomorrow) during the month of September only (before I am expecting them to use their out-of-class time in a more individual way), which is when BFPM falls, so they do a little bit of working ahead in the packet on their own. Generally, though, we work through the packet during class in an “individually-together” sort of way (work the problem a little, talk to the other people at your table, argue some things out, work on your own a bit, confer with your table again, etc). Everyone always works through every problem that is being whiteboarded before we whiteboard it. With the first worksheet in particular, I usually do board meetings (everyone whiteboards the same problem, which isn’t the norm, then they have to reach a consensus before everyone whiteboards the 2nd problem, and on and on). I wrote more about how whiteboarding typically goes in this linked post.
Compared to traditional, lecture-based classes, it is definitely a lot of class time. Compared to others using Modeling Instruction, though, I seem to keep up with them (or, often, go at a faster pace) even without assigning homework (having the students do the work of the class, productively struggling through problems, during our meeting times).
[…] gathered a list of forces and then just barely had time to start playing with the hover disc in our lab period […]
[…] was the first day of Balanced Forces, and I start it with a slightly modified version of what Kelly does using the pictured Kick Dis. The one thing I do differently is that I prefer to go through all my […]
Kelly, I read this post last year AFTER I introed FBDs, we never drew the Interaction Diagrams. So I decided to give it a try this year, and I like it for a lot of the above reasons people have stated. Two things I’ve run into during our discussion that I had to deal with.
#1 When the disk is ON students immediately recognized that the disk is NOT interacting with the table (how could it? it’s not touching it.) So we included Air in our system diagram. I guess this is providing a Buoyant Force? But I didn’t use that language. My students agreed that that air is providing a Normal Force on the disk because the air particles are being “scrunched” together. Have you ever dealt with this?
#2 In situation 2 and 3 some students have the misconception that the hand is still forcing the disk and want to include the “Force of the hand” on the disk because the hand pushed it. Commonly referred to as the Impetus Force. (Ironically this contradicts the exact discussion we just had about the table and the puck in #1 above.) They agree that the hand is no longer interacting with the disk, but “it was” “it did” “it got it moving.” And those preconceptions are tough to get them to change. Have you ever had to deal with this? What is your next step? How do you get them to buy into the fact you should not include Fhand or as one group put it Fkinetic? (I think they know kinetic means motion so the motion force)
Any thoughts or ideas would be appreciated. Thanks.
Brad Wysocki
Bloomer, WI
Hi Brad,
These are definitely both common things I’ve seen in my classes (both regular and honors).
1) This varies from class to class and year to year. I go with whatever makes sense to them. Sometimes they want the air to be considered part of the hover disc (so we write “+ air” inside the hover disc bubble on the system schema)—in that case, the floor is still exerting a normal force on the disc. Sometimes they want the air to be a separate object. In that case, the floor interacts with the air (normal force) and the air interacts with the disc (normal force), but the floor doesn’t interact with the disc. Whichever they decide, they are usually pretty content with that. I don’t really offer it as a choice to them. I just sort of play it cool and see how they decide to tell me the objects in the schema should be connected. Either way, I don’t let on really that anyone has ever done it differently than how they’ve chosen. At that point, they aren’t quite ready to think about equivalent variations (since they haven’t even put together a full pattern yet).
2) This is really common and persists for a while. Usually, though, you can get the kids to start explaining to each other using the tools that they’ve developed to think about the forces. Since our definition for normal force is that it is present when the atoms are being crunched, it is pretty easy to get them to talk themselves out of a persistent Fn by thinking about whether the person is still crunching the disc’s atoms (etc). I never use objects as subscripts for forces. (So Fhand would not work in our schema.) I get them to relate it back to what particular flavor of interaction is happening, then what object is exerting the force. Since our definition for force is “an interaction between two objects”, the force can only exist if there is a second object interacting with the disc. These ideas won’t disappear immediately, but you can help them talk themselves through specific situations. Since the Aristotle in their gut is a lot stronger than the infant Newton they are growing in their brains, they need these tools (diagrams, definitions of forces, etc) as a structure to help them think through each case.
Does that help? What do you think?
Kelly.
[…] #1 Qualitative observations with hover pucks, consolidating observations into generalizations about what effect doing nothing, tapping, and pushing has, to some degree following the activities and discussion outlined by Kelly O’Shea. […]
[…] then got started with the Balanced Force Particle Model Development using a hover disc (always a crowd-pleaser). We started drawing the relevant system schemas and […]
[…] because some of the seniors had joined the freshmen on their retreat, so rather than finish up the sequence to develop Newton’s First Law, the ones who were there practiced drawing free body diagrams. […]
[…] senior Physics class was still finishing up the Hover Disc activity and development of BFPM. Some students were concerned that the reason the Hover Disc was […]
Dear Kelly,
I’ll add my thanks and kudos for your efforts at sharing your style of instruction and MI with so many. You provide a great safety net for those of us who want to/are jumping into MI even though we haven’t made it to the summer training.
Knowing you’re probably have a very busy year at this school and in spite of my awe at the level of detail you’ve provided, my question is this: Will the “Building the Newton’s 3rd Law” be coming anytime soon or is it on the “when I get to it” list?
(BTW, I jumped in this year and am absolutely loving it! I can practically see the synapses in my kids’ brains growing!)
[…] was the second day of the Balanced Forces Particle Model (BFPM), which I intro using Kelly’s rather brilliant method here. This is a picture of the whiteboard after one of the classes, we didn’t quite finish looking […]
[…] Physics 1 – I stent the last day and a half introducing Interaction Diagrams and Force Diagrams using a hover disk. I basically followed Kelly O’Shea’s description. […]
[…] year when I started balanced forces with the hover disc FBD’s (see here for the general idea), I decided to try connected forces and motion more […]
[…] diagrams with all the circles on the left are system schemas, which were introduced months before when students were first learning how to draw free-body […]
[…] force, normal force, friction force, gravitational force) and in that amount of time, we also put together our first three system schemas and FBDs using examples from our first two days of the unit, not the ones on that old blog […]
[…] introduced them to interaction diagrams and free-body diagrams using the hover puck in an activity adapted from Kelly O’Shea. For the puck traveling at a constant velocity, one of my hours had some really good small group […]
[…] we first learn about forces, we have a diagram called a system schema that shows all of the relevant objects and how they are interacting with each other. We repurposed […]